õ¾ÈÇÔÀº ÁÂÃÊÀÔ´Ï´Ù.
õ¾ÈÇÔ Á¶»çÀ§¿øÀ¸·Î Âü¿©ÇÑ ¼±¹Ú Àü¹®°¡ ½Å»óöÀÇ ºñ¸Á±â
¿Àµ¿³ª¹« ¾Æ·¡¼­ ¿ª»ç¸¦ ±â·ÏÇÏ´Ù.
±Ç·ÂÀ» »çÀÍ È®´ëÀÇ µµ±¸ÂëÀ¸·Î ¿©±â´Â ¿À´Ã³¯ ºÎÆÐÇÑ °íÀ§ °ü·áµé.. ±èÁ¾ÀÍ
µµµÏ¸ÂÀº ÁÖ±Ç
18´ë ´ë¼±Àº ÇÕ¹ýÀ¸·Î À§ÀåÇÑ ºÎÁ¤¼±°Å¿´´Ù. ±èÈÄ¿ë
Áøº¸Àû ±Û¾²±â
¿ì¸®ÀÇ ±Û¾²±â°¡ »çȸ¸¦ °³¼±Çϴµ¥ ±â¿©ÇßÀ¸¸é ÁÁ°Ú´Ù. ±è°©¼ö
Áøº¸¸¦ º¹±âÇÏ´Ù
±¹È¸ÀÇ¿øÀ¸·Î¼­ ³»³õ¾Ò´ø, ³»³õ°í ½Í¾úÁö¸¸ ±×·¯Áö ¸øÇß´ø Á¤Ã¥À» ¿­ÇÑ °¡ÁöÀÇ ÁÖÁ¦·Î ¹­¾î Á¤¸®Çß´Ù. ÀÌÁ¤Èñ
õ¾ÈÇÔ 7³â, Àǹ®ÀÇ ±â·Ï
»ç°ÇÀÇ À籸¼º°ú 57¸íÀÇ Áõ¾ð (¹Ìµð¾î¿À´Ã Á¶ÇöÈ£ ±âÀÚ)
õ¾ÈÇÔÀÇ °úÇÐ ºí·¢¹Ú½º¸¦ ¿­´Ù
ºÐ´ÜüÁ¦ ÇÁ·¹ÀÓ ÀüÀï°ú °úÇÐ ³íÀï (ÇѰܷ¹ ¿Àö¿ì ±âÀÚ)
³í  Àï   ¹®ÀçÀÎÁ¤ºÎ   Ãµ¾ÈÇÔ   ¼¼¿ùÈ£   ÃÖ¼ø½Ç   °ËÂû°³Çõ   ±¹¹æ°³Çõ   Á¤Ä¡°³Çõ   ÀϹݠ  Àüü 
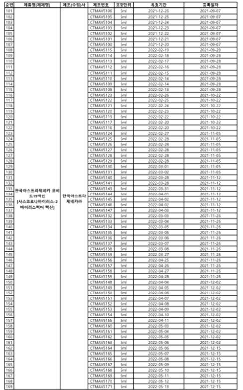
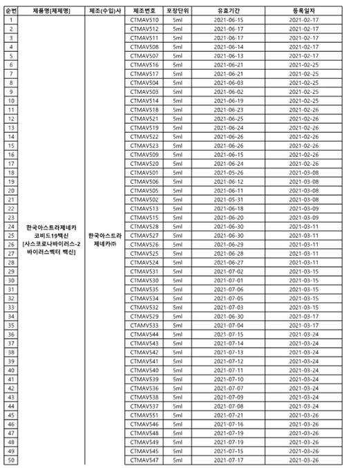
¹é½Å ·ÎÆ®(Lot) ¹øÈ£º° ÁÖ¿ä ºÎÀÛ¿ë, 1Àº ½Ä¿°¼ö, 2´Â mRNA ¹°Áú, 3Àº mRNA ¹°Áú+¹ß¾Ï¹°Áú
  ¹øÈ£ 132071  ±Û¾´ÀÌ ½Ã°ñ¸ñ»ç (khuknow777)  Á¶È¸ 4807  ´©¸® 0 (0,0, 0:0:0)  µî·ÏÀÏ 2025-8-9 11:41 ´ë¹® 0

-Á¤º¸°ø°³ û±¸¸¦ ÅëÇØ ãÀº ÀÚ·á-


¹é½Å ·ÎÆ®(Lot) ¹øÈ£º° ÁÖ¿ä ºÎÀÛ¿ë


¿ì¸®³ª¶ó´Â 2021³â 2¿ù 26ÀϺÎÅÍ ¹é½Å Á¢Á¾À» ½ÃÀÛÇß´Ù. ¹é½Å, 1Â÷ Á¢Á¾·üÀº 87.9%, 2Â÷ Á¢Á¾·üÀº 87.1%¿´Áö¸¸ 3Â÷ Á¢Á¾·üÀº 65.6%, 4Â÷ Á¢Á¾·üÀº 14.7%ÀÌ´Ù. ±×·±µ¥ ¹é½ÅÀ» ¸Â¾Ò´Âµ¥ ´©±¸´Â ¾Æ¹«·¸Áöµµ ¾ÊÀºµ¥ ´©±¸´Â »ç¸Á¿¡ À̸£´Â°¡?

1. ¹é½Å ·ÎÆ®¹øÈ£(Á¦Á¶¹øÈ£)¿¡ µû¶ó ¼ººÐÀÌ ´Ù¸£´Ù.

Àü±â¿±(Á¸½º ȩŲ½º´ë ¹Ú»ç, ÀüÁÖ ÀüÀϳ»°ú) ¹Ú»ç°¡ ¸»ÇÏ±æ ¡®±×°ÍÀº ¹é½ÅÀÇ ·ÎÆ®¹øÈ£(Á¦Á¶¹øÈ£)¿¡ µû¶ó ¼ººÐÀÌ ´Ù¸£±â ¶§¹®¡¯À̶ó°í Çß´Ù.

¹é½Å ·ÎÆ®¹øÈ£(Á¦Á¶¹øÈ£)°¡ ¹«¾ùÀΰ¡? ·ÎÆ®(Lot)´Â ƯÁ¤ °øÀåÀ̳ª ƯÁ¤ Áö¿ª¿¡¼­ ¾î´À ƯÁ¤ ½Ã°£¿¡ »ý»êµÈ ¹é½ÅÀ» ±¸º°Çϰí ÃßÀûÇϱâ À§ÇÑ ¹é½Åº° »ý»ê °íÀ¯¹øÈ£ÀÌ´Ù. Àϸí Á¦Á¶¹øÈ£ÀÌ´Ù.

Á¦¾àȸ»ç´Â ÇÑ ¹é½Å¿¡ ·ÎÆ®¹øÈ£¿¡ µû¶ó ´Ù¾çÇÑ ¼ººÐÀÇ ¹é½ÅÀ» ¸¸µé°í ÀÖ´Ù. ±×µéÀº Áö±Ý ±ä±Þ ½ÂÀÎÀ» ¹ÞÀº ¹é½ÅÀÇ ´Ù¾çÇÑ ·ÎÆ®¹øÈ£¸¦ ÅëÇØ »ç¶÷µé¿¡°Ô ÀÓ»ó½ÇÇèÀ» Çϰí ÀÖ´Ù.

½Ä¾àó´Â º»ÀÎÀÇ Á¤º¸°ø°³ û±¸¿¡ °ø°³ÇÏ±æ ¡®È­ÀÌÀÚ ¹é½Å ·ÎÆ® 60°³, ¾á¼¾Àº 2°³, ¸ðµ¥³ª 19°³, ¾Æ½ºÆ®¶óÁ¦´ÏÄ« 169°³°¡ ÀÖ´Ù¡¯¶ó°í Çß´Ù. (2021. 12. 23 ±âÁØ)

ÀÌ´Â °¢ ¹é½ÅÀÌ ·ÎÆ®¹øÈ£¿¡ µû¶ó ¹é½ÅÀÇ ¼ººÐÀ̳ª ¼ºÁúÀÌ ÀüÇô ´Ù¸£´Ù´Â °ÍÀÌ´Ù. Áï °°Àº È­ÀÌÀÚ ¹é½ÅÀÌ¶óµµ ÀÏ¸í ¹°¹é½ÅÀ¸·Î ¾Ë·ÁÁø ¹é½ÅÀÌ ÀÖ´Ù. ÀÌ´Â ¿¹¹æ Á¢Á¾ÀÚ¿¡°Ô ¾Æ¹«·± ÇØ°¡ ¾ø´Ù. ±×·¯³ª °°Àº È­ÀÌÀÚ¶óµµ Æ¯Á¤ ·ÎÆ®(Lot)¹øÈ£´Â »ç¸Á¿¡ À̸£°Ô ÇÒ ¼öµµ ÀÖ´Ù.

ÀϺ» Áúº´°ü¸®Ã»ÀÇ ÀڷḦ ÅëÇØ ¿¹¸¦ µé¸é È­ÀÌÀÚ ¹é½Å¿¡¼­ »ç¸Á·üÀÌ °¡Àå ³ôÀº ·ÎÆ®(Lot) EX3617 ¹é½ÅÀÌ ÀÖ°í, °ÅÀÇ ¹°¹é½ÅÀ¸·Î ¾Ë·ÁÁø ¹«´õ±â(Lot) FA4697, EY 5423 ¹é½ÅÀÌ ÀÖ´Ù.

µû¶ó¼­ ¹é½Å Á¦¾àȸ»ç´Â ÀÓ»êºÎ ´ë»ó ½ÇÇèÇÒ ¶§ »ç¶÷¿¡°Ô ÇØ°¡ ¾ø´Â ƯÁ¤ ·ÎÆ®(Lot)¹øÈ£¸¦ ÅÃÇÏ¿© ÀÓ»ó½ÃÇèÀ» ÇÒ ¼ö ÀÖ´Ù. ±×·¯¸é ±× Á¦¾àȸ»ç´Â Äڷγª ¹é½ÅÀÌ ÀÓ»êºÎ¿¡°Ô ¾Æ¹«·± ÇØ¸¦ ³¢Ä¡Áö ¾Ê´Â´Ù´Â °á°ú¸¦ ¾ò¾î³¾ ¼ö ÀÖ´Ù.

2. Äڷγª ¹é½ÅÀÇ ÄÚµå ¹øÈ£ÀÇ ºñ¹Ð

¹é½ÅÀ» ¸Â´Â »ç¶÷Àº ÀÚ½ÅÀÌ ¾î¶² ¹é½ÅÀ» ¸Â¾Ò´ÂÁö ¾Ë ¼ö ¾ø´Ù. ÇÏÁö¸¸ ¹é½ÅÀ» ¸ÂÃß´Â ´ç±¹Àº ±×µéÀÌ ¾î¶² ¹é½ÅÀ» ¸ÂÃß¾ú´ÂÁö ÀüºÎ ±â·ÏÇϰí ÀÖ´Ù.

¿ì¸®´Â °°Àº ¹é½ÅÀÌ¶óµµ ·ÎÆ®¹øÈ£°¡ ´Ù¾çÇÏ´Ù´Â »ç½ÇÀ» ¾Ë¾Æ¾ß ÇÑ´Ù. ¿Ö³ÄÇÏ¸é ¾î¶² »ç¶÷µéÀº ÀÚ½ÅÀº ¹é½ÅÀ» ¸Â¾Æµµ ±¦Âú´Ù°í Çϸ鼭 ¹é½Å ºÎÀÛ¿ëÀ» ¹«½ÃÇϱ⠶§¹®ÀÌ´Ù.

½½·Îº£´Ï¾ÆÀÇ ÇÑ °£È£»ç°¡ °£È£»çÁ÷À» »çÁ÷ÇÑ ÈÄ, ÀÚ½ÅÀÌ ÁÖ»çÇÏ´ø Äڷγª ¹é½ÅÀÇ ÄÚµå ¹øÈ£ÀÇ ºñ¹Ð¿¡ ´ëÇØ ´ëÁß ¾Õ¿¡¼­ Æø·ÎÇß´Ù.

¡°QRÄڵ忡¼­ ¹øÈ£
1·Î ½ÃÀ۵Ǵ °ÍÀº ¼ÒÀ§ Çö󼼺¸, ½Ä¿°¼ö´Ù.
2·Î ½ÃÀ۵Ǵ °ÍÀº mRNA ¹°Áú,
3 Àº mRNA ¹°Áú+ ¹ß¾Ï¹°ÁúÀ̾ú´Ù.
¹°·Ð Á¤Ä¡ÀεéÀº 1¹ø ¹é½ÅÀ» ¸Â¾Ò´Ù.¡±
https://fb.watch/9q6lXt-pQz/
- ¸ñ¼öÁ¤ ÀÛ°¡ -

ÀÌ°Ç ½½·Îº£´Ï¾ÆÀÇ °æ¿ìÀ̱ä ÇÏÁö¸¸, Æú¶õµåÀÇ °úÇÐÀÚ ÇÁ¶ûÅ© À߷罺۵µ ÀÚ½ÅÀÌ ºÐ¼®ÇÑ 5°¡ÁöÀÇ ¹é½Å »ùÇÿ¡¼­ 3°³´Â ½Ä¿°¼öÀÓÀ» È®ÀÎÇÏ¿´´Ù.
https://www.facebook.com/100006113047251/posts/3089227887957616/?d=n

ÇÁ¶û½ºÀÇ º¯È£»ç ºê·ò»çµµ Äڷγª ¹é½ÅÀÇ ½ÇÁ¦ ¼ººÐ°ú Á¦¾à»ç°¡ ¹àÈ÷´Â ¼ººÐÀÌ Á¦°¢°¢ ´Ù¸£´Ù´Â »ç½ÇÀ» È®ÀÎÇϰí, ÀÌ´Â °ø»êǰÀ¸·Î¼­ ÆÇ¸Å Çã°¡¸¦ Ãë¼ÒÇÏ°Ô ¸¸µå´Â »ç¾ÈÀÓÀ» µé¾î, Áö³­ ¿©¸§ºÎÅÍ °ü·Ã ¼Ò¼ÛÀ» ÁøÇà ÁßÀÌ´Ù.

3. È­ÀÌÀÚ, ¸ð´õ³ª ¹é½Å ·ÎÆ®¹øÈ£ º° ÁÖ¿ä ºÎÀÛ¿ë (¹Ì±¹ DB, ÀϺ» DB)

ÀÚ½ÅÀÌ Á¢Á¾¹ÞÀº ¹é½Å Á¢Á¾ ·ÎÆ®¹øÈ£ È®Àιý
1) QOOV ¾îÇÃÁ¢¼Ó - Á¢¼ÓÄ«µå(ÆÄ¶õÄ«µå) Ŭ¸¯ - ¿ìÃø »ó´Ü ¡¯»ó¼¼º¸±â¡¯ Ŭ¸¯ - ¡¯·ÎÆ®¹øÈ£¡¯¶õ È®ÀÎ
2) Á¢Á¾¹ÞÀº º´¿ø¿¡ ¹®ÀÇÇÏ¸é ¾Ë ¼ö ÀÖ´Ù.
È­ÀÌÀÚ, ¸ð´õ³ª ¹é½Å ·ÎÆ®(Lot) ¹øÈ£º° ÁÖ¿ä ºÎÀÛ¿ë°ú °ü·Ã Åë°è ¼öÄ¡.

ÃÖ±Ù ¹Ì±¹ DB(2021.12.24. ±âÁØ), ÀϺ» DB(2021.12.05. ±âÁØ)Àº È­ÀÌÀÚ, ¸ð´õ³ª ·ÎÆ® ¹øÈ£º° ÁÖ¿ä ºÎÀÛ¿ë »ç·Ê¸¦ °ø°³Çß´Ù.

- È­ÀÌÀÚ ¹é½Å -

Á¤ºÎ´Â È­ÀÌÀÚ ¹é½Å ET9096(21. 3.28)À» ½ÃÀÛÀ¸·Î ÇØ¼­ FN5430(21.12.31)±îÁö 60°³ Á¾·ù(Á¦Á¶¹øÈ£)¸¦ ¼öÀÔÇÏ¿© 2022³â 7. 31ÀϱîÁö ±¹¹Î¿¡°Ô Á¢Á¾ ¹× ¿¹Á¤ÀÌ´Ù.

ET9096 (¸Å¿ì À§ÇèÇÑ ·ÎÆ® ¹øÈ£) ºÎÀÛ¿ë: 359°Ç, ÀϺ»: 485°Ç
ºÎÀÛ¿ë: ¹ß¿­, µÎÅë, Ç÷¾ÐÁõ°¡, ÇÇ·Î, ¸Þ½º²¨¿ò, ¾Æ³ªÇʶô½Ã½º, »ê¼ÒÆ÷È­µµ ÀÌ»ó, È£Èí°ï¶õ, ¿ÀÇÑ ±ÙÀ°Åë, ±¸Åä, »ç¸Á µîÀÌ´Ù.

ET9096 ¹é½Å: 2021. 3. 28, 4.1, 5, 15, 22, 29 (5Â÷·Ê ) µî·Ï, À¯È¿±â°£ÀÎ 2021.07.31.±îÁö Á¢Á¾.

FC1526, ºÎÀÛ¿ë: 519°Ç
ºÎÀÛ¿ë: µÎÅë, ÇÇ·Î, Ç÷¾ÐÀÌ»ó, ¸Þ½º²¨¿ò, ½ÉÇÑ °íÅë µî.
FC1526 ¹é½Å: 2021. 06.11. µî·Ï, À¯È¿±â°£ÀÎ 2021. 09. 30±îÁö Á¢Á¾

FC5029, ºÎÀÛ¿ë: 200°Ç
ºÎÀÛ¿ë: µÎÅë, ÇÇ·Î, ¹ß¿­, ±ÙÀ°Åë, ¸Þ½º²¨¿ò, Çö±âÁõ, ¿ÀÇÑ, È£Èí°ï¶õ, ½É¹Ú¼ö ÀÌ»ó, ¹«±â·ÂÁõ, ÈäÅë, »ê¼ÒÆ÷È­µµ ÀÌ»ó µî.
FC5029 ¹é½Å: 2021. 07.19. µî·Ï, À¯È¿±â°£ÀÎ 2021. 10. 31±îÁö Á¢Á¾.

FC8889, ºÎÀÛ¿ë: 495°Ç
ºÎÀÛ¿ë: ¹ß¿­, È£Èí°ï¶õ, ½Ç½Å, ½ÉÁ¤Áö, ³ú°æ»ö, »ê¼ÒÆ÷È­µµ ÀÌ»ó, ´ÙÇÑÁõ, µÎÅë, ±¸Åä, °¨°¢Àå¾Ö, ¹ßÀÛ, ÈäÅë, Æó»öÀü, µ¿¸Æ°æÈ­, Ç÷ÀüÁõ, Çù½ÉÁõ.
FC8889 ¹é½Å: 2021. 05. 25. 06.03 (2Â÷·Ê µî·Ï), À¯È¿±â°£ÀÎ 2021. 09. 30, ±îÁö Á¢Á¾

FE2083, ºÎÀÛ¿ë: 372°Ç
ºÎÀÛ¿ë: ÇÇ·Î, µÎÅë, ¾îÁö·¯¿ò, ¸Þ½º²¨¿ò, È£Èí°ï¶õ, ¿ÀÇÑ, ÈäÅë, µî
FE2083 ¹é½Å: 2021. 06.04. µî·Ï, À¯È¿±â°£ÀÎ 2021. 10.31. ±îÁö Á¢Á¾.

FE2090, ºÎÀÛ¿ë: 321°Ç
ºÎÀÛ¿ë: ¹ß¿­, ºÎÁ¤¸Æ, ½É°èÇ×Áø(µÎ±Ù°Å¸²), ½É±Ù¿°, ½É³¶¿°, ÈäÅë, È£Èí°ï¶õ, Çö±âÁõ, ÇÇ·Î, µÎÅë, ±ÙÀ°Åë, ¸Þ½º²¨¿ò, Å»¸ð, »ç¸Á µî.
FE2090 ¹é½Å: 2021. 06.25. (µî·Ï), À¯È¿±â°£ÀÎ 2021. 10.31, ±îÁö Á¢Á¾

FG6270, ºÎÀÛ¿ë: 149°Ç
ºÎÀÛ¿ë: ¹ß¿­, ¸é¿ªÀÌ»ó, ¸Þ½º²¨¿ò, µÎÅë, ÈäÅë, ½Ç½Å, Ç÷¾ÐÀÌ»ó, ½É¹Ú¼ö ÀÌ»ó, ÇÇ·Î, ¾îÁö·¯¿ò, ¿ÀÇÑ, µî.
FG6270 ¹é½Å: 2021. 09. 10. (µî·Ï), À¯È¿±â°£ÀÎ 2021. 12. 31, ±îÁö Á¢Á¾.

FG6431, ºÎÀÛ¿ë: 237°Ç
ºÎÀÛ¿ë: °üÀýÅë, Çö±âÁõ, ÇÇ·Î, Æó°æ ÈÄ ÃâÇ÷, ¹ß±âºÎÁø, ¿­°¨, ½É¹Ú¼ö Áõ°¡, ½Ç½Å µÎµå¸£±â, ´« ÅëÁõ, µÎÅë, °¨°¢ÀúÇÏ, »çÁöºÒÆí, ÀǽĻó½Ç, »ê¼ÒÆ÷È­µ¿ ÀÌ»ó, °Üµå¶û ÅëÁõ, ¸²ÇÁÁú Áúȯ, Á÷Àå ÃâÇ÷, ½É±Ù¿°, À¯¹æ ÅëÁõ, ¿ÀÇÑ, ±ÙÀ°Åë µî.
FG6431 ¹é½Å: 2021. 08. 13. (µî·Ï), À¯È¿±â°£ÀÎ 2021. 12. 31, ±îÁö Á¢Á¾.

FH0114, ºÎÀÛ¿ë: 254°Ç
ºÎÀÛ¿ë: ÇÇ·Î, ±ÙÀ°Åë, ¹ß¿­, °¡½¿ÅëÁõ, ½É¹Ú¼ö Áõ°¡, ºÎÁ¾, ¸²ÇÁÀý¤½º´Áõ, ½Å°æÀå¾Ö, °üÀýÅë, ¼³»ç, ±Þ¼º Á¤½Åº´ µî.
FH0114 ¹é½Å: 2021. 09. 03. (µî·Ï), À¯È¿±â°£ÀÎ 2021. 12. 31, ±îÁö Á¢Á¾.

FK0112, ºÎÀÛ¿ë: 242°Ç
ºÎÀÛ¿ë: ÈäÅë, µÎÅë, ¹ß¿­, ¸Þ½º²¨¿ò, »çÁöÅëÁõ, ½Ç½Å, °üÀýÅë, ¼³»ç, È£Èí°ï¶õ, ¸²ÇÁÀý Áúȯ, ¹Ì°¢ Àå¾Ö, »ê¼ÒÆ÷È­µµ, ½É³¶¿°, ½É¹Ú¼ö ÀÌ»ó, »ç¸Á µî.
FK0112 ¹é½Å: 2021. 09. 24. (µî·Ï), À¯È¿±â°£ÀÎ 2022. 01. 31, ±îÁö Á¢Á¾ ¿¹Á¤.

FK9413, ºÎÀÛ¿ë: 312°Ç
ºÎÀÛ¿ë: ÈäÅë, µÎÅë, ¹ß¿­, ¸Þ½º²¨¿ò, »çÁöÅëÁõ, ½Ç½Å, °üÀýÅë, ¼³»ç, È£Èí°ï¶õ, ¸²ÇÁÀý Áúȯ, ¹Ì°¢ Àå¾Ö, »ê¼ÒÆ÷È­µµ, ½É³¶¿°, ½É¹Ú¼ö ÀÌ»ó, »ç¸Á µî.
FK9413, ¹é½ÅÀ» 2021. 10. 22. (µî·Ï), À¯È¿±â°£ÀÎ 2022. 02. 28, ±îÁö Á¢Á¾¿¹Á¤
Áß·«....

- ¸ðµ¥³ª ¹é½Å -
3003637, ºÎÀÛ¿ë: 207°Ç, ¹Ì±¹ DB(2021.12.24. ±âÁØ)
ÇÇ·Î, ±ÙÀ°Åë, µÎÅë, ¸Þ½º²¨¿ò
Áß·«.......

º»ÀÎÀº Á¤º¸°ø°³¹ý¿¡ µû¶ó ÀçÂ÷(5Â÷·Ê ¡®Á¤º¸ºÎÁ¸À硯) Áúº´Ã»¿¡ È­ÀÌÀÚ, ¸ð´õ³ª ¹é½Å ·ÎÆ® ¹øÈ£º° ºÎÀÛ¿ë°ú Åë°è¼öÄ¡¸¦ Á¤º¸°ø°³ û±¸Çß´Ù. Áúº´Ã»Àº ¡®Á¤º¸ºÎÁ¸À硯¶ó¸ç ÀÏü ´äº¯À» ÁÖÁö ¾Ê¾Ò´Ù.

Ãâó: https://side-effect.jp/
ãæúþ«³«í«Ê«ï«¯«Á«óÜùÚã応検証«µ«¤«È
ãæúþ«³«í«Ê«ï«¯«Á«óªÎ効ÍýªäÜùÚã応ë÷ª¤ÜÃͱªòÝïÎò検証ª·¡¢«ê«¹«¯ªä«á«ê«Ã«Èªò÷÷断ª¹ªëª¿ªáªÎï×Ü뵫¤«È¡£ý§ßæ労働àýÍëøúªÎíÀÖùªòꪪËßÙᬪÊ検ßãªËªâ対応ª·ªÆª¤ªÞª¹
ƯÁ¤ Á¦Á¶¹øÈ£ ¹é½ÅÀÌ ´õ ¸¹Àº »ç¸ÁÀÚ¿Í ºÎÀÛ¿ëÀ» ³º´Â´Ù!!

Ãâó: ƯÁ¤ Á¦Á¶¹øÈ£ ¹é½ÅÀÌ ´õ ¸¹Àº »ç¸ÁÀÚ¿Í ºÎÀÛ¿ëÀ» ³º´Â´Ù.
https://rumble.com/vt3cso-40.-..html

4. ¹é½Å ·ÎÆ®(Lot) ¹øÈ£º° »ç¸ÁÀÚ ¹× °ü·Ã Åë°è. (5Â÷ ÀÌÀÇÁ¦±â)

º»ÀÎÀº Áúº´Ã»¿¡ ¾Æ½ºÆ®¶óÁ¦³×Ä«, ¾á¼¾, È­ÀÌÀÚ, ¸ð´õ³ª ·ÎÆ® ¹øÈ£º° »ç¸ÁÀÚ ¹× °ü·Ã Åë°è Á¤º¸°ø°³¸¦ 4¹øÀ̳ª û±¸Çß´Ù. ÇÏÁö¸¸ Áúº´Ã»Àº 4¹øÀ̳ª ¡®ºÎÁ¸À硯¶ó°í ´äº¯Çß´Ù.

1Â÷: Á¢¼ö¹øÈ£-8109982, Á¢¼ö ÀÏÀÚ: 2021. 08.05.Áúº´Ã» ´äº¯ ¡®ºÎÁ¸À硯
2Â÷: Á¢¼ö¹øÈ£-8374438, Á¢¼ö ÀÏÀÚ: 2021. 10. 23.Áúº´Ã» ´äº¯ : ¡®ºÎÁ¸À硯
3Â÷ Á¢¼ö¹øÈ£: 8417505 Á¢¼ö ÀÏÀÚ: 2021. 11. 03 Áúº´Ã» ´äº¯: ¡®ºÎÁ¸À硯
4Â÷ Á¢¼ö¹øÈ£ : 8508648, Á¢¼ö ÀÏÀÚ: 2021. 12. 02 Áúº´Ã» ´äº¯: ¡®ºÎÁ¸À硯
º»ÀÎÀº 4Â÷ ¶§´Â ½Ä¾àó¿¡ ¹é½Å »ç¸ÁÀÚ °ü·Ã Åë°è¸¦ °ø°³Á¤º¸ û±¸Çß´Ù. ½Ä¾àó´Â º» û±¸ °ÇÀº Áúº´Ã» ¼Ò°üÀ̶ó Çϸç Áúº´Ã»À¸·Î À̰üÇß´Ù.

°¢ º´¿ø¿¡¼­´Â ¹é½Å ¸Â´Â ´ë»óÀÚÀÇ À̸§°ú ³¯Â¥¿Í ¹é½Å ¹øÈ£(·ÎÆ®¹øÈ£)¸¦ Àû°í ´ë»óÀÚ¿¡°Ô ¹é½ÅÀ» ¸ÂÃß°í ÀÖ´Ù.

Áö±Ý Á¢Á¾µÇ°í ÀÖ´Â ÄÚºñµå ¹é½ÅÀº ¾ÆÁ÷µµ ÀÓ»ó ½ÃÇè ÁßÀ̱⠶§¹®¿¡ º´¿ø¿¡¼­ ¹é½ÅÀ» ³õÀ» ¶§ ¹Ýµå½Ã Á¢Á¾ ´ë»óÀÚ¿Í ³¯Â¥¿Í ¹é½Å Á¦Á¶¹øÈ£¸¦ Àû´Â´Ù.

Á¦Á¶º° ÀÓ»ó ½ÃÇè ¿Ï·áÀÏÀº ´ÙÀ½°ú °°´Ù. (º»ÀÎÀÌ Á¤º¸°ø°³ û±¸½Ã¿¡´Â ¾ÆÁ÷ ÀÓ»ó½ÃÇèÀÌ ¿Ï·áµÇÁö ¾Ê´Â »óÅÂÀ̾ú´Ù.

¸ð´õ³ª: 2022. 10. 27.
È­ÀÌÀÚ: 2023. 5. 2.
¾Æ½ºÆ®¶óÁ¦´ÏÄ«: 2023. 2. 14
¾á¼¾: 24. 2. 2.

Áúº´Ã»Àº 4°³ ¹é½Å ·ÎÆ®¹øÈ£¿¡ µû¸¥ »ç¸ÁÀÚ °ü·Ã Åë°èµµ °¡Áö°í ÀÖ´Ù. ÀϺ» ÈÄ»ý¼º ¹é½Å ·ÎÆ® ¹øÈ£º° »ç¸ÁÀÚ °ü·Ã Åë°è ÀڷḦ º¸¾Æµµ ¾Ë ¼ö ÀÖ´Ù. (÷ºÎ)

¹Ì±¹ The Expose ±â»ç¿¡ µû¸£¸é[µ¶Á¡ : °ø½Ä Á¤ºÎ µ¥ÀÌÅÍ¿¡ µû¸£¸é Covid-19 ¹é½Å »ç¸ÁÀÇ 100%´Â »ý»êµÈ ¹èÄ¡ÀÇ ´Ü 5%·Î ÀÎÇØ ¹ß»ýÇß´Ù]https://dailyexpose.uk/.../100-percent-of-covid-19.../

±×·±µ¥ Áúº´Ã»Àº º»ÀÎÀÇ ¹é½Å ·ÎÆ® ¹øÈ£º° »ç¸ÁÀÚ ¼ö¿Í Åë°èºñÀ² û±¸¿¡ ´ëÇØ 4¹øÀ̳ª Á¤º¸ ¡®ºÎÁ¸À硯¶ó°í ÇÏ¸ç °íÀÇ·Î Á¤º¸°ø°³¸¦ ȸÇÇÇϰí ÀÖ´Ù.

Áúº´Ã»Àº Á¤º¸°ø°³¹ýÀº Á¦6Á¶ÀÇ 2Ç׿¡ ¡¸°ø°ø±â°üÀÇ Á¤º¸°ø°³ ´ã´çÀÚ´Â Á¤º¸°ø°³¾÷¹«¸¦ ¼º½ÇÇÏ°Ô ¼öÇàÇÏ¿©¾ß Çϸ硦 À§¹ýÇÑ °ø°³ °ÅºÎ ¹× ȸÇÇ µî ºÎ´çÇÑ ÇàÀ§¸¦ ÇÏ¿©¼­´Â ¾Æ´Ï µÈ´Ù¡¹¶ó°í ÇÑ ¹ý·üÀ» À§¹ÝÇϰí ÀÖ´Ù.

±×·¯¹Ç·Î º»ÀÎÀº Áúº´Ã»ÀÌ ·ÎÆ® ¹øÈ£º° »ç¸ÁÀÚ °ü·Ã Åë°è ÀڷḦ °®°í ÀÖÀ½¿¡µµ ºÒ±¸ÇÏ°í ¡®ºÎÁ¸À硯 ´äº¯À¸·Î Á¤º¸°ø°³¸¦ °è¼Ó ȸÇÇÇÏ´Â °Í¿¡ À¯°¨À» Ç¥ÇÏ¸ç ´Ù¼¸ ¹øÂ°·Î 4°³ ¹é½Å ·ÎÆ®(Lot) ¹øÈ£º° »ç¸ÁÀÚ ¼ö¿Í °ü·Ã Åë°è¸¦ Á¤º¸°ø°³ û±¸Çß´Ù. Áúº´Ã»Àº ·ÎÆ®¹øÈ£¸¸ °ø°³ÇÏ°í ·ÎÆ® ¹øÈ£º° »ç¸ÁÀÚ ¼ö¿Í °ü·Ã Åë°è ÀÚ·á´Â ¹àÈ÷Áö ¾Ê¾Ò´Ù.

¡Ø ½Ä¾àó ´äº¯
Á¢¼ö¹øÈ£: 8256263
Á¢¼öÀÏÀÚ: 2021.09.16

±èÈÄ¿ë´Ô, ¾È³çÇϽʴϱî? (ÅëÁöÀÏÀÚ: 2021. 10. 05)

- ±ÍÇϲ²¼­ Á¤º¸°ø°³ ¿äûÇϽŠ¡®mRNA ¹é½ÅÀÎ È­ÀÌÀÚ ¹é½Å, ¸ð´õ³ª ¹é½ÅÀÇ ±¹°¡ ÃâÇÏ ½ÂÀÎ ·ÎÆ®(Lot) ¹øÈ£¡¯´Â, ¿ì¸® ó ¡®ÀǾàǰ¾ÈÀü³ª¶ó¡¯ ȨÆäÀÌÁö(https://nedrug.mfds.go.kr)¸¦ ÅëÇÏ¿© °ø°³µÇ¾î ÀÖÀ¸¸ç,

- ¡®ÀǾàǰ¾ÈÀü³ª¶ó¡¯ ȨÆäÀÌÁö·Î Á¢¼Ó ÈÄ, ¡®È¨ÆäÀÌÁö »ó´Ü ¸Þ´º¡æ°í½Ã/°ø°í/¾Ë¸²¡æÀǾàǰÇã°¡¡¤½ÂÀΡ汹°¡ÃâÇϽÂÀΡ¯ È­¸éÀÇ ¡®Á¦Ç°¸í¡¯ Ç׸ñ¿¡¼­ ¡®Äڹ̳ªÆ¼ÁÖ¡¯ ¶Ç´Â ¡®¸ð´õ³ªÄÚºñµå-19¹é½ÅÁÖ¡¯·Î °Ë»öÇÏ¸é ·ÎÆ® ¹øÈ£¸¦ È®ÀÎÇÏ½Ç ¼ö ÀÖ½À´Ï´Ù. ³¡.

5. ¹é½Å ȸ»çº° ¹é½Å ·ÎÆ® º° Á¾·ù

½Ä¾àó ´äº¯ (2021. 12. 21 ±âÁØ)
È­ÀÌÀÚ ·ÎÆ®¹øÈ£: 60°³
¸ð´õ³ª ·ÎÆ®¹øÈ£: 19°³
¾á¼¾ ·ÎÆ®¹øÈ£; 2°³
¾Æ½ºÆ®¶óÁ¦´ÏÄ« ·ÎÆ®¹øÈ£: 169°³

¸Î´Â¸»

°Å´ë Á¦¾àȸ»ç´Â ÇÑ ¹é½Å¿¡ ·ÎÆ®¹øÈ£¿¡ µû¶ó ´Ù¾çÇÑ ¼ººÐÀÇ ¹é½ÅÀ» ¸¸µé¾î ±ä±Þ ½ÂÀÎÀ» ¹ÞÀº ¹é½ÅÀÇ ´Ù¾çÇÑ ·ÎÆ®¹øÈ£¸¦ ÅëÇØ »ç¶÷µé¿¡°Ô ÀÓ»ó½ÇÇèÀ» Çß´Ù.

Á¦¾à ¾÷ü°¡ ¸¸µç ¹é½ÅÀº ·ÎÆ®¹øÈ£¿¡ µû¶ó ¹é½ÅÀÇ ¼ººÐÀ̳ª ¼ºÁúÀÌ ÀüÇô ´Ù¸£´Ù. Áï QRÄڵ忡¼­ ¹øÈ£1·Î ½ÃÀ۵Ǵ °ÍÀº ¼ÒÀ§ Çö󼼺¸, ½Ä¿°¼ö, 2·Î ½ÃÀ۵Ǵ °ÍÀº mRNA ¹°Áú, 3À¸·Î ½ÃÀ۵Ǵ mRNA ¹°Áú+ ¹ß¾Ï¹°ÁúÀÌ ÀÖ´Ù.

±×·¯¹Ç·Î ¿ì¸®´Â ¹é½Å ºÎÀÛ¿ëÀ» ¹«½ÃÇÏÁö ¸»°í ÀÚ½ÅÀÌ ¾î¶² ¹é½ÅÀ» ¸Â¾Ò´ÂÁö Á¢Á¾ÇÑ º´¿øÀ̳ª º¸°Ç¼Ò¿¡¼­ ¾Ë¾Æº¸°í mRNA ¹é½Å Á¢Á¾À» ¹Þ¾Ò´Ù¸é ÇØµ¶ÇÒ Çʿ䰡 ÀÖ´Ù.

- Âü°í -
¼ÒÀ§ ¹é½Å Àü¹®°¡¿Í Áúº´Ã» °ø¹«¿øµéÀº °ÅÀÇ ¸ÅÀÏ TV¿¡ ³ª¿Í¼­ ¹é½ÅÀ» Á¢Á¾Ç϶ó°í ±ÇÀ¯Çߴµ¥ °ú¿¬ ±×µéÀº ¹é½Å Á¢Á¾À» Çߴ°¡?

Äڷγª Á¢Á¾À» ÁÖµµÇϰí È«º¸Çß´ø Àü Áúº´Ã»Àå Á¤Àº°æ°ú Äڷγª ¹é½Å Á¢Á¾À» È«º¸Çß´ø ¾ÆÄ§¸¶´Ù YTN°ú ¿¬ÇÕ´º½ºTV µîÀ» ºñ·ÔÇÑ ¹æ¼Û¿¡ ³ª¿Í¼­ ¹é½Å Á¢Á¾À» °­Á¶ÇÏ´ø õÀº¹Ì ÀÌ´ë¸ñµ¿º´¿ø ÀÇ»ç´Â Á¤ÀÛ ÀÚ½Åµé ¹é½Å Á¢Á¾À» ¹ÞÁö ¾Ê¾Ò´Ù°í ¹àÇû´Ù.

http://surprise.or.kr/board/view.php?table=surprise_13&uid=132071
IP : 121.159.210.x
´Ð³×ÀÓ
¹ø  È£ Á¦        ¸ñ ±Û ¾´ ÀÌ Á¶  È¸ ´©  ¸® µî ·Ï ÀÏ
À̸í¹Ú, "BBK´Â ³»°¡ ¼³¸³Çß´Ù" (6) ÆíÁý±¹ 803914
10
35
07-05 14:24
[¹ý¿øÁ¦Ãâ] ÇÁ·ÎÆç·¯ ¼Õ»ó °ü·Ã °ËÁõ¿¡ ´ëÇÑ Àǰ߼­ (4) ½Å»óö 1043820
95
205
06-13 07:16
[¹ý¿øÁ¦Ãâ] 'Á¦3ÀÇ ºÎÇ¥'°ü·Ã UDT ´ë¿ø Áõ¾ð¿¡ ´ëÇÑ Àǰ߼­ (6) ½Å»óö 1240516
70
145
06-30 21:18
[°ËÁõ] õ¾ÈÇÔ '1¹ø ¾î·Ú'´Â °íö µ¢¾î¸® (6) ½Å»óö 1121193
91
45
10-28 09:10
[´Ü»ó] ½Å¿¡°Ô´Â ¾ÆÁ÷ 12¹øÀÇ ÀçÆÇÀÌ ³²¾Ò½À´Ï´Ù (9) ½Å»óö 1137865
40
80
07-13 13:35
[°øÁö] 2021. 9. 1ÀϺηΠ¼­ÇÁ¶óÀÌÁî ·Î±×ÀÎÁ¦¸¦ ½Ç½ÃÇÕ´Ï´Ù (0) ¼­ÇÁ¶óÀÌÁî 263582
5
25
04-03 20:17
132318
[ÇØ¼³] ¡°ÀüÀï ³¡³µ´Ù¡±´ø Æ®·³ÇÁ¡¦¿Ö È£¸£¹«Áî ÇØÇù... Àӵθ¸ 29
0
0
03-17 12:26
132317
À±¼®¿­ ³»¶õ ¸íºÐ°ú ÇÕ¸®È­ À§ÇÑ Á¶ÀÛ»ç°Ç ¹ÚÇØÀü 56
0
0
03-16 16:14
132316
Áßµ¿ÀüÀïÀ» º¸¸ç ¾ò´Â ±³ÈÆÀº ¹«¾ùÀΰ¡? (Àá 16:18) ½Ã°ñ¸ñ»ç 203
0
0
03-14 13:29
132315
ÀÌ ´ëÅë·É ÁöÁöÀ² 66% ¡®°¶·´ ÃÖ°íÄ¡¡¯¡¦¹ÎÁÖ´ç ÁöÁö... Àӵθ¸ 147
0
0
03-13 15:56
132314
³ëÀÎ ¹®ÇÐÀ» ÅëÇØ ¡®³ëÈÄ¡¯¸¦ ¿³º¸´Ù ±èÁ¾ÀÍ 157
0
0
03-13 09:28
132313
ŸÀÎÀÇ ÃëÀ縦 ÀÚ½ÅÀÇ Æ¯Á¾À¸·Î ¹Ù²Û ÀåÀμö±âÀÚ kenosis 33
0
0
03-12 01:32
132312
ì°´ëÅë·É ÁöÁöÀ² 65%, ÃëÀÓ ÈÄ ÃÖ´ë...ºÎµ¿»ê Á¤Ã¥ Æò... Àӵθ¸ 424
0
0
03-06 13:54
132311
ÀÌÈñÀÚ¿Í ±¸À±Ã¶°ú À̳«¿¬ÀÇ °ü°è? kenosis 262
0
0
03-04 07:32
132310
[Ä®·³] ÀÌÀç¸íÀÇ °á´Ü, ¸»ÀÌ ¾Æ´Ñ ÇൿÀ¸·Î ´øÁø ¸Þ½Ã... Àӵθ¸ 759
0
0
03-03 10:21
132309
±èÁ¤Àº, À̶õ º¸°í ¹«¾ùÀ» ´À²¼À»±î ±èÈñ±¹ 740
0
0
03-03 09:24
132308
º´ÀûÀÎ ¼±¹ÎÀǽİú ÇÇÇØÀǽĿ¡ »ç·ÎÀâÈù È«»çÈÆ±âÀÚ kenosis 275
0
0
03-03 05:59
132307
¿µÈ­ ¡ºµû¸ÛÓÞ濛¡»ÀÌ Áõ¾ðÇÏ´Â ¹é»ö Å×·¯ÀÇ ½Ç... ±èÁ¾ÀÍ 752
0
0
02-27 13:05
132306
Áß¾Ó¼±°üÀ§ ÀÓÂ÷¼­¹ö¸¦ ÅëÇÑ Àü»ê Á¶ÀÛ ¼ö»ç µ¶ÃË Åº... ½Ã°ñ¸ñ»ç 660
0
0
02-26 19:24
132305
ºÀÁö¿í¾¾ À̾ðÁÖÀÇ¿øÀÌ Ä£ÀÏÆÄÀΰ¡¿ä? kenosis 322
0
0
02-26 18:12
132304
¡°5¡¤18Á¤½Å Çå¹ýÀü¹®¼ö·ÏÀº ±¹°¡Àû Ã¥¹«¡± »ç¶÷ÀϺ¸ 953
0
0
02-26 10:03
132303
[Ä®·³] »ç¹ýÀº µ¶¸³À̾î¾ß ÇÑ´Ù, ±×·¯³ª ¹«¿À·ùÀÏ ¼ö... Àӵθ¸ 924
0
0
02-25 09:23
132302
´ëÅë·É´Ô, Áøº¸À¯Æ©ºê°¡ ¸ÅÀ½¼Ò±¼ÀÌ µÇ¾î°¡°í ÀÖ½À´Ï... (1) kenosis 270
0
0
02-23 04:34
132301
[ÇØ¼³] ¡®À±¼®¿­ ¹«±â¡¿ª¡¯ ÆÇ°áÀÌ ³²±ä ¹ý¸®¡¤Á¤Ä¡,... Àӵθ¸ 1210
0
0
02-20 09:56
132300
ÅëÀϿÁø¿µ ÇìÁý´Â ¡®Á¤Ã¼ºÒ¸íÀÇ °øÀÛ¿øµé¡¯ °­Áø¿í 1253
0
0
02-19 13:21
132299
´º½Ã¹ÎÀÇ »ª¹ÙÁö¿Í ±è¾îÁØÀÇ ºÎ¸£¸£ kenosis 465
0
0
02-14 10:44
132298
ÀÏÁ¦ °­Á¡±â, ¾î¶»°Ô ÀÌÇØÇØ¾ß ÇÒ±î? ¨è ±èÁ¾ÀÍ 1420
0
0
02-13 13:22
132297
ÀÌÀç¸í¿¡°Ô ¿ë¼­¸¦ ±¸ÇØ¾ß ÇÏÁö ¾Ê´Â°¡? (1) kenosis 524
0
0
02-13 08:00
132296
ÀÏÁ¦ °­Á¡±â, ¾î¶»°Ô ÀÌÇØÇØ¾ß ÇÒ±î? ¨ç ±èÁ¾ÀÍ 1483
0
0
02-12 09:56
132295
Çѵ¿ÈÆ ¡®´Ù½Ã µ¹¾Æ¿À°Ú´Ù¡¯´Â ¾à¼Ó, Á¤Ä¡ Çö½ÇÀº ³Ã... Àӵθ¸ 1502
0
0
02-10 11:14
132294
ÀüÁØÃ¶º¯È£»ç´Â ÀÌÈ­¿µÀ» ȸÀ¯ÇÏ´ø Àü°ü 4¸í Áß ÇÑ ¸í... kenosis 470
0
0
02-10 02:22
132293
ÀÌÈ­¿µÀ» ȸÀ¯¾Ð¹ÚÇÑ ±¤ÀåÀÇ ÀüÁØÃ¶º¯È£»ç kenosis 482
0
0
02-09 17:26
132292
Á¤Ã»·¡°¡ Á¶Çõ´ç¿¡°Ô ÇÕ´çÀ» Á¦¾ÈÇÑ ÀÌÀ¯ kenosis 526
0
0
02-08 16:37
132291
³ª´Â ÀÌÀç¸íÀÌ´Ù Á¤Ã»·¡ÀÇ ¹Ý¸í Ãø±Ùµé (1) kenosis 577
0
0
02-08 16:35
132290
´ëÅë·ÉÀÇ ¸ñ¿¡ Ä®À» °Ü´©°í ÀÖ´Â ¹ÎÁÖ´ç (1) kenosis 471
0
0
02-07 03:55
132289
´ÙÁÖÅÃÀÚ ¾çµµ¼¼ Áß°ú À¯¿¹ Á¾·á ¡®ÀßÇß´Ù¡¯ 61%¡¦ºÎ... Àӵθ¸ 1589
0
0
02-06 09:29
132288
¹ÎÁÖ´ç ÁÖöÇöÀÇ¿øÀº ¿©¼ö½ÃÀå½ÃÀýºÎÅÍ kenosis 547
0
0
02-06 05:34
132287
À¯½Ã¹ÎÀ» À§ÇÑ ±Ç¸é kenosis 560
0
0
02-04 04:30
132286
Á¤Ã»·¡ ¹ÎÁÖ´ç´ëÇ¥¸¦ ȯ¿µÇÏ´Â Àç°æ±¤ÁÖÀü³²Çâ¿ìȸ kenosis 614
0
0
02-03 17:15
132285
¾ß¸¸ÀÇ ½Ã´ë¸¦ »ì¾Æ¼­ °ßµð¸ç ±èÁ¾ÀÍ 2008
0
0
02-03 09:33
132284
À̸¸Èñ ÃÑȸÀåÀ» ¿µÁ¢ÇÏ´Â ½ÅõÁö½Åµµµé (»çÁø¸ðÀ½) kenosis 706
0
0
02-03 06:00
132282
´õºÒ¾î¹ÎÁÖ´ç À̾ðÁÖ ÃÖ°íÀ§¿ø ¸ðµÎ¹ß¾ð Àü¹® kenosis 689
0
0
02-02 15:31
132281
ź¼Ò±¹°æ¼¼¿Í ÇÃ¶ó½ºÆ½ ±ÔÁ¦ÀÇ ÆÄ°í Ãְ濵 2054
0
0
02-02 11:07
132280
´©°¡ ÀÌÀç¸íÀΰ¡? (1) kenosis 757
0
0
02-01 12:43
132279
Á¤Ä¡°¡ ¹ýÇÐÀÚ Á¶±¹À» öÀúÇÏ°Ô ¸Á°¡¶ß¸®°í ÀÖ½À´Ï´Ù. (1) kenosis 907
0
0
01-30 03:41
132278
Á¤Ã»·¡ÀÇ ½ã±Û¶ó½º kenosis 774
0
0
01-28 06:33
132277
Çõ¸íÀÇ ¿­±â´Â ºÎÈïȸ¿Í °°´Ù. kenosis 705
0
0
01-27 17:25
132276
ÇÑ ½Ã´ë°¡ Àú¹«´Â ±¸³ª. kenosis 717
0
0
01-27 15:18
132275
[Ã߸ðÄ®·³] ¹ÎÁÖÁÖÀÇ ¿ª»çÀÇ Å« ½º½Â, ÀÌÇØÂùÀ» º¸³»... Àӵθ¸ 2451
0
0
01-27 10:01
132274
ÆÄÆíÈ­µÇ´Â Á¤ÀÇ, ÀºÆóµÇ´Â ¡®±¹°¡¹üÁË¡¯ °­Áø¿í 2535
0
0
01-27 09:07
132273
±Ù¿ìȸ ÀÌÈñÀÚȸÀåÀº ¾ðÁ¦ ½ÅõÁö¿¡ Æ÷¼·µÇ¾ú³ª? (II) kenosis 832
0
0
01-27 08:58
132272
ÀÌÀç¸í ´ëÅë·É ÁöÁöÀ² ´Ù½Ã 60%´ë ȸº¹¡¦¿Ü±³¡¤°æÁ¦ ... Àӵθ¸ 2521
0
0
01-26 08:42
132271
¹ÎÁÖ´ç °£ÆÇÀÌ ¶³¾îÁú ¶§ kenosis 717
0
0
01-25 10:24
132270
±è¾îÁØÀÇ ¼­¿ø(à¥êÃ) kenosis 719
0
0
01-25 08:09
132269
¹®ÀçÀÎÈĺ¸ ¼±°Åº»ºÎÀå ³ë¿µ¹Î°ú ±Ù¿ìȸȸÀå ÀÌÈñÀÚÀÇ... kenosis 751
0
0
01-24 11:05
132268
¿¡³ÊÁö ³Ê¸Ó ź¼ÒÁ߸³ µµ½ÃÀÇ ¼ö¸íÀ» ¹¯´Ù Ãְ濵 2429
0
0
01-23 09:53
132267
À±¼®¿­ ÀÏ´ç 12.3 ³»¶õÀº Ä£À§Äíµ¥Å¸ »ç¶÷ÀϺ¸ 2150
0
0
01-22 16:52
132266
¸¶Æ÷±¸ÀÇ ³ëº§±æ ¸í¸í½ÄÀº ½ÅõÁöÇà»çÀΰ¡? (3) kenosis 939
0
0
01-22 16:10
132265
[Ä®·³] ÇÑ´ö¼ö ÆÇ°áÀÇ ÇÔÀÇ¡¦¿Ö ³»¶õ¹üÀº ÁßÇüÀ̾î¾ß ... Àӵθ¸ 2280
0
0
01-22 09:11
132264
¼­µ¿Èí ±¤º¹È¸ °­³²±¸ÁöȸÀå ¡°¡®¿¬ÇÕ±¹ ½Â¸®·Î µ¶¸³... JNC TV 2268
0
0
01-20 09:31
132262
±×·¡µµ Àΰ£À» ¹Ï´Â´Ù. ±èÁ¾ÀÍ 2189
0
0
01-19 08:39
132258
±Ù¿ìȸ ÀÌÈñÀÚȸÀåÀº ¾ðÁ¦ ½ÅõÁö¿¡ Æ÷¼·µÇ¾ú³ª? kenosis 914
0
0
01-16 14:55
132257
Á¶Àº¼® ³»¶õƯ°Ë, ÇǰíÀÎ À±¼®¿­ »çÇü ±¸Çü »ç¶÷ÀϺ¸ 2304
0
0
01-15 09:39
132256
ÀüÀï ±¹°¡ ¹Ì±¹ÀÇ ÆòÈ­ 1 ±èÁ¾ÀÍ 2448
0
0
01-13 10:32
132255
ÀÌÀç¸íÁ¤ºÎ¸¦ ¼Ó¿©¸ÔÀº ¹Ú¿ì·®°ú ½Å¾È±ºÀÇ ÇÞºû¿¬±Ý ... kenosis 796
0
0
01-13 02:40
132254
[Ä®·³] ³»¶õ»ç°Ç °á½É°øÆÇ¸¸ 2ȸ¶ó´Ï, ¹ý±â¼úÀÚµéÀÇ ... Àӵθ¸ 2412
0
0
01-12 09:50
132253
ÇÙ °³¹ß°ú Àΰ£ ±èÁ¾ÀÍ 2560
0
0
01-07 11:37
132250
Áö±¸¸¦ ÆØÃ¢½ÃŰ°í ¼öÃà½ÃŲ õ¾ÈÇÔ TOD ¿µ»ó dfnton049 2803
0
0
01-04 16:44
132247
[½Å³âÄ®·³] Çã´Ï¹®Àº ³¡³µ´Ù, ÀÌÁ¦´Â ½Ç·ÂÀÇ Á¤Ä¡´Ù Àӵθ¸ 2920
0
0
01-01 13:16
132246
2025 ´ëÇѹα¹ 10´ë ´º½º [1]...Á¤Ä¡Æí Àӵθ¸ 2752
0
0
12-31 09:50
132245
¹®µÕÀÌ ½ÃÀÎ ÇÑÇÏ¿îÀÇ º»¸ð½À 3 - ¨é ±èÁ¾ÀÍ 2676
0
0
12-29 10:34
132244
¹®µÕÀÌ ½ÃÀÎ ÇÑÇÏ¿îÀÇ º»¸ð½À 3 - ¨è ±èÁ¾ÀÍ 2790
0
0
12-26 10:24
132243
[Ä®·³] ÅëÀϱ³ Ư°Ë ¾Õ¿¡¼­ µå·¯³­ ±¹¹ÎÀÇÈûÀÇ µÎ ¾ó... Àӵθ¸ 3005
0
0
12-26 09:43
132242
´ëÅë·É´Ô, ´ºÅ½»çÀÇ Á¤º¸°ø°³Ã»±¸¸¦ Çã¶ôÇØ Áֽʽÿä(... kenosis 867
0
0
12-25 04:42
132241
¹®µÕÀÌ ½ÃÀÎ ÇÑÇÏ¿îÀÇ º»¸ð½À 3 - ¨ç ±èÁ¾ÀÍ 3118
0
0
12-22 11:44
132240
¡°À±¼®¿­ÀÏ´ç ±¹Á¦¿¬ÇÕ °í¹®¹æÁöÇù¾à À§¹Ý¡± ¹ÚÇØÀü 3104
0
0
12-22 10:08
132239
[Ä®·³] Á¶Èñ´ë¿Í ´ë¹ý¿ø, ¡®»ç¹ýºÎÀÇ Á¸Àç ÀÌÀ¯¡¯µµ ... Àӵθ¸ 3486
0
0
12-19 09:41
132238
¡°ÀαÇÄ§ÇØ»ç°ÇÁ¶ÀÛ °í¹®¹üÁË Àý´ë ¾ø¾î¾ß¡± »ç¶÷ÀϺ¸ 3320
0
0
12-19 09:37
132237
18´ë ´ë¼±, ÀÓÂ÷¼­¹ö 29´ë¿¡ ³Ý¹ö½º(NetBus) ÇÁ·Î±×·¥... ½Ã°ñ¸ñ»ç 1011
0
0
12-18 21:29
132236
´ëÅë·É´Ô ´ºÅ½»çÀÇ Á¤º¸°ø°³Ã»±¸¸¦ Çã¶ôÇØ Áֽʽÿä. kenosis 1015
0
0
12-17 17:26
132235
À±¼®¿­¡¤±è°ÇÈñÃø±Ù ¡°Ã»´ãµ¿¼úÀÚ¸® ÆÑÆ®´Â ¸Â´Ù°í µé... (1) kenosis 1244
0
0
12-17 14:30
132234
[½Å»óöTV]õ¾ÈÇÔ Á¶»çÇß´Ù°¡ »îÀÌ ²¿¿©¹ö¸° ¼­±ÛÇ ... ½Å»óö 3481
0
0
12-17 10:20
132233
ȯ´Ü°í±âÀÇ È­µÎ kenosis 979
0
0
12-17 04:00
132231
À¯¿£ 80³â, ±×¸®°í ¿ì¿ï - °¡ÀÚ, ´º¿å, ÇìÀÌ±× ¨é ±èÁ¾ÀÍ 3278
0
0
12-16 09:50
132230
[Ä®·³] ÅëÀϱ³ ·Îºñ ÀÇȤ, À±¿µÈ£ÀÇ ¡®¸» ¹Ù²Ù±â¡¯¿Í ... Àӵθ¸ 3614
0
0
12-15 09:59
132229
[¿À¿µ¼ö ½Ã] º¸¹°Ã£±â ¿À¿µ¼ö 3260
0
0
12-15 09:56
132228
À¯¿£ 80³â, ±×¸®°í ¿ì¿ï - °¡ÀÚ, ´º¿å, ÇìÀÌ±× ¨è ±èÁ¾ÀÍ 3432
0
0
12-12 09:07
132227
À±¼®¿­ ³»¶õ¹Ý¶õ û»ê°ú ±¹¹ÎÁÖ±ÇÁ¤ºÎ Ã¥¹« ¹ÚÇØÀü 3461
0
0
12-12 08:51
132226
ÀÌÀç¸íÀÇ À¾Âü¸¶¼Ó(ëèóÖØ©áÚ) kenosis 1078
0
0
12-11 04:47
132225
û´ãµ¿ ¼úÀÚ¸® »ç°Ç¿¡ ´ëÇÑ Æ¯º°°Ë»ç µµÀÔÀÇ Çʿ伺 kenosis 1316
0
0
12-10 11:13
132224
[½Å»óöTV] ÇØ¾ç¼öµµ Ưº°¹ý ½Å»óö 3516
0
0
12-10 11:03
132223
û´ãµ¿¼úÀÚ¸® ´ç½Ã Çѵ¿ÈƼöÇàÀη Ãʰú±Ù¹« ³»¿ë°ø°³ kenosis 1104
0
0
12-10 04:08
132222
Áß¾Ó¼±°üÀ§ ÀÓÂ÷¼­¹ö °è¾à¼­¿Í ¼¼ºÎ±Ô°Ý ¾Ð¼ö ¼ö»ö ÃË... ½Ã°ñ¸ñ»ç 1180
0
0
12-09 19:13
132221
Á¦15ȸ ÀçÁß´ëÇѰ˵µÈ¸Àå¹è °Ëµµ´ëȸ ¼º´ëÈ÷ °³ÃÖ ÆíÁý±¹ 3525
0
0
12-08 16:46
132220
ÀÌÀç¸í ´ëÅë·É ±¹Á¤ÁöÁöÀ² 62%¡¦ÃëÀÓ 6°³¿ù ÁöÁöÀ² ¿ª... Àӵθ¸ 3667
0
0
12-08 09:15
132219
ÅëÀϱ³È¸ ¹®Á¦ - ÇÑÇÐÀÚ ÃÑÀç üÆ÷°¡ µå·¯³½ Çѱ¹°ú ... ±èÁ¾ÀÍ 3666
0
0
12-05 09:32
132218
[Ä®·³] 12¡¤3 1³â, À±¼®¿­ ¼¼·ÂÀÌ ³¡³» µå·¯³½ ¡®³»¶õ... Àӵθ¸ 3822
0
0
12-04 08:47
132217
[½Å»óöTV] 2026 Áö¹æ¼±°Å, 12.3 ³»¶õÀçÆÇ °á°ú º¯¼ö ... ½Å»óö 3556
0
0
12-03 12:43
132216
[Ä®·³] ±¹Èû À嵿Çõ ´ëÇ¥, ¡®Á¤Ä¡ÀÇ »ó½Ä¡¯À» ½ÃÇè´ë... Àӵθ¸ 3727
0
0
12-03 08:57
132215
À¯¿£ 80³â, ±×¸®°í ¿ì¿ï - °¡ÀÚ, ´º¿å, ÇìÀÌ±× ¨ç ±èÁ¾ÀÍ 3457
0
0
12-02 10:48
132214
°è¾ö, ÃÑÀ» µç ±ºÀÎÀÇ ±â¾ï ±èÈñ±¹ 3417
0
0
12-02 10:43
132213
11¿ù17ÀÏ ¹ÎÁÖ´ç °øÁö»çÇ×, "Àü´ç¿øÅõÇ¥ ¾È³»" kenosis 1276
0
0
12-02 05:39
132212
ÀÌÀç¸í ´ëÅë·É ÁöÁöÀ² 2ÁÖ ¿¬¼Ó 60%¡¦Á¤´çÁöÁöÀ², ¹Î... Àӵθ¸ 3365
0
0
12-01 08:59
132211
¹ÎÁÖ´ç¿øµéÀÇ °¡Ã³ºÐ¼Ò¼Û°ú Á¤Ã»·¡ÀÇ ºÐ³ë kenosis 1345
0
0
11-30 07:45
132210
¹®µÕÀÌ ½ÃÀÎ ÇÑÇÏ¿îÀÇ º»¸ð½À 2 ±èÁ¾ÀÍ 3588
0
0
11-28 09:31
132209
"³ª´Â ¿¹¼ú°¡°¡ ¾Æ´Õ´Ï´Ù" kenosis 1502
0
0
11-27 05:47
132208
[½Å»óöTV] ĸƾ ¾Æ¸Þ¸®Ä«ÀÇ Ãß¶ô ½Å»óö 3736
0
0
11-26 10:57
132207
1ÀÎ1Ç¥Á¦ °ü·Ã Á¤Ã»·¡ÀÇ °ÅÁþ¸» (´ç¿ø°úÀÇ ´ëÈ­³ìÃë) kenosis 1498
0
0
11-25 14:32
132206
Àú¹«´Â ÀϱØ(ìéп) ½Ã´ë ¹éÀåÇö 3690
0
0
11-25 10:43
132205
À̰ÍÀÌ ¹Ù·Î Áö±Ý ¿ì¸®°¡ »ì°í ÀÖ´Â Çö½ÇÀÔ´Ï´Ù. kenosis 1427
0
0
11-25 10:31
132204
¾ß¸Þ°øÈ­±¹ÀÇ ¾ß¸Þ Áö½ÄÀÎ À¯½Ã¹Î kenosis 1420
0
0
11-25 05:32
132203
Á¤Ã»·¡¸¦ ¼³µæÇÏ´Â À̾ðÁÖ ÃÖ°íÀ§¿øÀÇ ¸ðµÎ¹ß¾ð kenosis 1518
0
0
11-24 16:43
132201
È®´ëµÇ´Â ¡®³»ºÎÀÇ Àû¡¯À̶ó´Â µüÁö ±èÁ¾ÀÍ 3892
0
0
11-21 09:18
132200
À¯·É´ç¿øÀÇ ´ç¿øÁֱǽô븦 ¿©´Â Á¤Ã»·¡ÀÇ ¼­¿ø(à¥êÃ)... kenosis 1749
0
0
11-20 16:59
132199
¹®µÕÀÌ ½ÃÀÎ ÇÑÇÏ¿îÀÇ º»¸ð½À 1 - ¨é ±èÁ¾ÀÍ 3698
0
0
11-20 09:29
132198
[½Å»óöTV] ÇѹÌÁ¤»ó ÆÑÆ®½ÃÆ®, Çѹ̵¿¸ÍÇö´ëÈ­ ¡¤ Àü... ½Å»óö 3955
0
0
11-19 11:34
12345678910 ..1150
¹ö±×½Å°í,½Ã½ºÅÛ¹®ÀÇ | ¿Àǰ³¹ß
¹ÎÁø¹Ìµð¾î¼Ò°³ | °³ÀÎÁ¤º¸Ãë±Þ¹æÄ§ | ȸ¿ø¾à°ü | ±¤°í¹®ÀÇ | Copyright ¨Ï ¹ÎÁø¹Ìµð¾î.
¿î¿µ¹®ÀÇ: ¼­¿ï ¿µµîÆ÷±¸ ¿©Àǵµµ¿ 13 Áø¹ÌÆÄ¶ó°ï 930È£ T. 02-761-1678 F.02-6442-0472 poweroftruth@daum.net